Транзисторы
Содержание
- Назначение
- Биполярные транзисторы
- Полевые транзисторы
- Пример
- Вывод
Назначение транзисторов
Транзистор - электронная “кнопка” в цепи питания, которая нажимается не пальцем, а электрическим сигналом, например от контроллера, что позволяет управлять сильным импульсом при помощи слабого. Также применяется для преобразования и коммутации электрических сигналов, что широко используется в электронных устройствах любой сложности, в том числе в микросхемах, в качестве атомарного триггера и так далее.Как правило, у транзистора имеется три ноги: для входа, для выхода и для управляющего сигнала.
В DIY-разработках чаще всего используются транзисторы в двух корпусах: ТО-92 для небольших нагрузок и ТО-220 - более крупный и более мощный.

Биполярные транзисторы.

- Коллектор - контакт для мощного положительного тока, которым следует управлять.
- Эмиттер - контакт для “земли” мощного тока, на который открывается или закрывается транзит в зависимости от состояния Базы.
- База - та самая “кнопка”, подавая небольшой ток на которую можно разблокировать связь коллектор-эмиттер, а заземлив его - заблокировать.

Основной характеристикой биполярного транзистора является является коэффициент усиления hfe, соотношение между управляющим током и током нагрузки:
Ice = Ibe * hfe
Давайте рассчитаем, какой ток можно пропустить через типовой транзистор bc337 в корпусе ТО-92. Согласно даташита, коэффициент усиления такого транзистора составляет от 160 до 400, возьмем 300 как разумно-оптимальный. Примем номинал токоограничивающего резистора за 1 кОм, значит на базе получим ток:
Ibe = V/R = 5/1000 = 0.005 А
Вычисляем максимальный управляемый ток при помощи нехитрой формулы:
Ice = 5 мА * 300 = 1500 мА
Ответ: при помощи транзистора bc337 мы (теоретически) можем управлять нагрузкой до 1.5 А. При более высокой нагрузке транзистор откроется не полностью, “лишняя” часть пойдет на нагрев и транзистор быстро сгорит.
К основным характеристикам биполярного транзистора также можно причислить максимальное напряжение коллектор-эмиттер и максимальный ток через коллектор. Для нашего примера bc337 эти параметры, соответственно, 50 В и 0.8 А. Получается, что расчетные 1.5 А мы пропускать через этот транзистор все-таки не сможем, максимум 0.8. Поэтому, перед выбором транзистора, обязательно изучите его характеристики и свойства нагрузки.
Биполярные транзисторы выпускаются в двух разновидностях: NPN и PNP.

Полевые транзисторы
Полевый транзисторы позволяют управлять гораздо более мощными нагрузками, при тех же размерах корпуса. В отличие от биполярных транзисторов, ток через затвор полевых не проходит, он изолирован от главной нагрузки, управление происходит только при помощи напряжения, а значит токоограничивающий резистор для них не нужен.Названия и назначения контактов:
- Сток - для подачи управляемой нагрузки;
- Исток - для заземления, связь с которым открывается или закрывается в зависимости от состояния затвора;
- Затвор - управляющий контакт, подаем напряжение - открываем транзистор, заземляем - закрываем.

- Максимальное напряжение сток-исток;
- Максимальный ток через сток;
- Сопротивление сток-исток;
- Рассеиваемая мощность;
Наиболее известная разновидность полевого транзистора - MOSFET, чаще всего в DIY используются именно они. Особое внимание обратите на транзисторы с буквой L в маркировке, например IRLZ44n, они очень удобны для работы с контроллерами благодаря логическому уровню управления. Это значит, что для полного открытия гарантированно хватит сигнала с пина, обычно это от 2,5 В и выше. Максимальный ток сток-исток таких транзисторов многократно больше, чем у биполярных, в случае IRLZ44n это аж 45 А, против 0,8 А у bc337. Поэтому для управления серьезной нагрузкой рекомендуется использовать именно их.
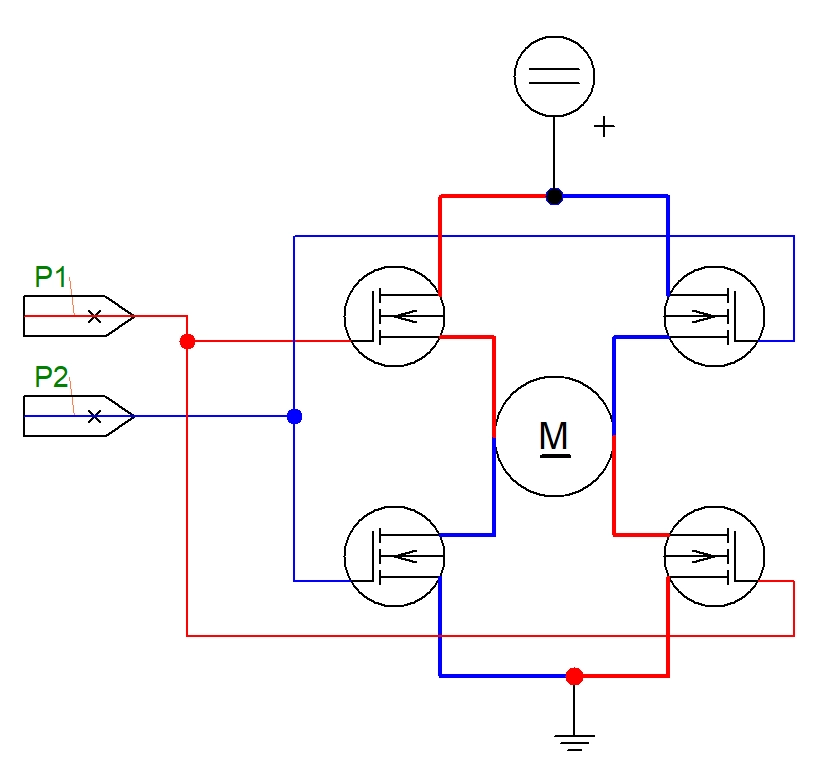
Пример
Рассматривать применение транзисторов в качестве простого выключателя мы здесь не будем, тем более, что такие схемы уже приведены выше. Давайте попробуем сделать из них что-то более сложное и полезное. Например, управление асинхронным электромотором с возможностью реверса. Для этого применим схему подключения, известную как Н-мост. Простейший вариант будет выглядеть так:
Можно обойтись и одним пином, для этого подключить второй управляющий контакт через логический инвертор, как пример - микросхему 74HC04, которая превращает ноль в единицу и наоборот. Тогда на пинах всегда будет разноименный сигнал и мотор будет вращаться в ту или другую сторону, в зависимости от подключения и состояния единственного управляющего пина.

Вывод
Транзистор - очередной элементарный “кирпичик”, один из базовых элементов электроники, наряду с резистором и конденсатором и диодом. Комбинацией этих “кубиков” создается подавляющее количество электронных схем. Знать эти элементы, их свойства, разновидности и уметь ими пользоваться должен каждый DIY-мастер.
Это интересно
- Комментарии
Загрузка комментариев...






